
2023-08-30
概要
多劑量瓶(MDV)廣泛用于大多數生物制藥,在使用前會被抽取到塑料注射器中。然而,使用含有硅油的塑料注射器(SO注射器)處理治療性蛋白質時形成的可分解顆粒可能存在問題。本研究旨在評估含有人免疫球蛋白(IgG)和脂質納米顆粒(LNPs)的MDV重新包裝注射器中微粒(>1 μm)形成和積累的程度和趨勢。采用光阻法(LO)和流動成像(FI)對微粒進行分析。使用SO注射器觀察到的微粒數量大于不含SO注射器,并且微粒數量隨著兩種藥物在注射器中重新包裝的次數不斷增加。然而,在不同品牌的SO注射器中觀察到很大的差異。相比之下,使用一種不同的技術從小瓶中提取藥物顯著減少了微粒的數量。此外,使用集成過濾針或在配方中加入穩定劑如乙酰精氨酸和Tween 20也有助于減少顆粒的形成。
一、簡介
多劑量瓶(mdv)比單劑量瓶(sdv)或預充注射器具有顯著的經濟和后勤優勢,特別是在大規模免疫規劃中。mdv是密封的容器,允許連續提取藥物部分而不改變殘留部分的質量,包括純度、濃度和無菌。mdv被廣泛用于Covid- 19疫苗,包括Moderna和輝瑞的疫苗。然而,已經報道了一些使用注射器將藥物從mdv中重新包裝的不良事件,如微生物污染、形成可見顆粒和導致免疫反應。一項研究報道了使用mdv治療聚乙二醇肽可導致過敏反應和死亡。對于可見微粒,MDV批次中觀察到的微粒數量(>1 μm)高于SDV批次,這表明過敏反應與MDV中微粒的產生有關。
使用硅油注射器(SO注射器)可增加微粒的生成已被廣泛研究。研究表明,由于硅油的存在,亞可見顆粒的形成增加,而彈射或掉落注射器等機械應力進一步增加了顆粒的形成。硅油誘導的微粒可使患者發生免疫原性反應的風險較高。Chisholm等人(2016)的研究表明,蛋白質吸附的硅油微粒破壞了對重組蛋白的免疫耐受和抗體反應。其他幾項研究報告稱,在通過胰島素注射器進行玻璃體內注射后,患者的玻璃體腔中存在硅油滴(或飛蚊癥),這促使美國視網膜專家協會發布了關于胰島素注射器中硅油滴的警報。預充注射器或針管產品可以替代塑料注射器。然而,據報道,主因是在包裝從小瓶切換到預充注射器的情況下形成了蛋白質聚集。說得更加具體的是蛋白質暴露在某些產品中的硅油中,否則在小瓶中可能不會遇到。

圖1所示。圖示演示了從小瓶中提取藥物的常規逐步指導(稱為“來回運動")
盡管有關于SO注射器不良反應的報道,但在大多數臨床或非臨床環境中沒有采取緩解措施。此外,MDV的劑量大小為每瓶2至20劑,大多數兒童免疫接種為每瓶10或20劑,這可能會增加硅油從注射器滲入到小瓶的風險。一項研究報道,將貝伐珠單抗從小瓶重新包裝到SO注射器中導致藥物濃度下降10%,微米級蛋白顆粒(>1 μm)大幅增加,隨后患者眼壓升高。另一項來自復合藥房的重新包裝貝伐珠單抗樣本的研究表明,硅油是顆粒數量增加的病原體。因此,了解與使用mdv和SO注射器相關的風險至關重要。
考慮到這些問題,本研究旨在量化由于使用SO注射器而在MDV中形成的亞可見顆粒及其積累趨勢。我們模仿了在臨床環境中從小瓶中取出藥物的技術,這些技術也在幾個指南中提供(圖1)。以肌內γ-球蛋白(IgG)和空脂質納米顆粒(LNPs)為模型藥物。每個小瓶中的樣品被重新包裝成8個不同品牌的注射器,而只研究了、第四、第七和第八支注射器。光阻法(LO)測定顆粒數。雖然LO通常用于計算亞可見顆粒,但它不能計算半透明顆粒,并且可能錯誤標記顆粒大小。因此,將流式成像(FI)技術與LO技術結合使用,以確定顆粒計數并區分顆粒的形態。通過FT-IR和評估其重量差來確認硅油的存在。
二、材料與方法
2.1 材料和樣品制備
編號:020A19001, Gamma Globulin),由165 mg/mL人源IgG、22.5 mg/mL甘氨酸和5mg /mL氯化鈉組成,pH值為6.8,購自GC Biopharma(京畿道,韓國)。IgG用相同的緩沖液稀釋至10 mg/mL, LNP在pH 7.4的緩沖液中稀釋40倍。LNP載體(以下簡稱LNP)由脂質膽固醇、peg2000神經酰胺、陽離子脂質和1,2-二硬脂酰- asn -甘油-3-磷酸膽堿(dsc)組成,由EnhancedBio Inc.(首爾,韓國)提供。注射用水(WFI)購自JW制藥公司(韓國首爾),異丙醇(IPA)購自大田化學金屬有限公司(韓國京畿道)。n - α-乙酰- l-精氨酸和Tween™20 Surfact-Amps™洗滌劑溶液(Tween 20)分別購自Sigma-Aldrich (St. Louis, LO, USA)和Thermo Fisher Scientific (Cleveland, OH, USA)。
比較三種不同品牌的注射器:(1)kovax -注射器1 mL,可拆卸26號針頭(so -注射器1;韓國疫苗有限公司,京畿道,韓國),(2)b1ml帶Luer-lok™尖端的注射器(so -注射器2;Becton, Dickinson and Company, Franklin Lakes, NJ, USA)和(3)HENKE-JECT®兩部分一次性注射器1ml不含硅油(SO-free注射器)。所有的注射器都在有效期內使用過。KOVAX-NEEDLE 25G (25G針頭;除了“過濾器針頭測試"外,研究中所有3支注射器都使用了韓國疫苗有限公司(Korea Vaccine Co.,京畿道,Korea京畿道),該測試使用了胰島素/結核菌素注射器(Ezfilter®1ml, Donghwa C&M)的可拆卸18號針頭和5 μm針頭過濾器。(首爾,韓國)。針頭從原來的注射器中分離出來使用。對于MDV,使用高壓滅菌后的5ml玻璃小瓶(BT134005, Hwankyung Tech, Seoul, Korea),在重新包裝前用20mm橡膠塞和鋁壓蓋將其封閉。對于再包裝注射器,8支注射器從5 mL裝藥的小瓶中取出0.5 mL (n = 3),第1、4、7、8支注射器用于顆粒分析。

圖2所示。(a)研究中使用的代表性塑料注射器和針頭,(b)使用WFI和IPA從每種類型的20支注射器中提取的干燥殘留物的重量,以及(c)從塑料注射器中提取的殘留物的疊加FT-IR光譜。
2.2 衰減全反射FT-IR光譜
使用Nicolet iS5分光光度計(Thermo Fisher Scientific, Waltham, MA, USA)配備iD5鉆石衰減全反射附件來鑒定硅油。在室溫下測量紅外光譜。為了從注射器中提取硅油,每種型號各取50支注射器,先充入0.5 mL的IPA,倒置10次,然后將內容物釋放到50 mL的燒杯中。IPA在100°C下干燥,直到獲得恒定重量。提取物用100 μL異丙醇重溶。將制備好的樣品取5 μL置于結晶板上干燥5min,在4000 cm??1 ~ 400 cm??1范圍內記錄64幅干涉圖,分辨率為4 cm??1。采用Nicolet Omnic軟件8.2.387對樣品進行光譜分析。
2.3 硅油含量
為了測定塑料注射器中硅油(即可浸出的)的相對含量,20支注射器各充入0.5 mL WFI和IPA。填充后,注射器用注射器蓋密封并倒置10次,然后將內容物釋放到預稱重的玻璃小瓶中。將小瓶中的溶劑在100℃下完全干燥,直到獲得恒定重量,并記錄干燥提取物的重量。
2.4 光阻法
使用HIAC 9703+液體粒子計數器(Beckman-Coulter, Brea, CA, USA)獲得顆粒濃度。在每次分析之前,用0.2 μm minusart®NML無表面活性劑醋酸纖維素注射器過濾器(Sartorius AG, Goettingen,德國)過濾的去離子水沖洗流體路徑,然后測量相同的顆粒計數以確認檢測器的清潔度。<10個粒子(p)/mL被認為是可接受的背景值。每個樣品測量5次,每次測量體積為0.1 mL。使用3個結果的平均值(即刪除次和最后一次檢測的結果)來計算平均值和標準差。通過儀器自帶的PhamSpec軟件(版本為3.5.32)獲得粒徑>2 μm、>5 μm、>10 μm和>25 μm的顆粒。數據依次排列在2 ~ 10 μm、10 ~ 25 μm和>25 μm的尺寸范圍內。
2.5 流式成像法
采用配備10倍放大鏡的Flowcam 8100 (Fluid-imaging Technologies, ME, USA)對顆粒濃度(p/mL)及其形態進行分析。在每次樣品測量之前,測量去離子水以確認流體路徑和流池的清潔度。顆粒濃度< 50 p/mL被認為是可接受的背景值。在所有的測量中,使用未經稀釋的0.5 mL樣品溶液,以避免形成的顆粒解離(數據未顯示),0.1 mL的樣品溶液以0.1 mL/min的流速測量5次。和第五項分析從數據收集中刪除。基于ABD的顆粒粒徑范圍為1 ~ 10 μm、10 ~ 25 μm和>25 μm。通過3個連續測量和3個單獨的小瓶計算平均值和標準差。使用儀器自帶的VisualSpreadsheet軟件(4.17.14版本)進行數據分析。
2.6 統計數據
實驗分三次進行,使用Excel程序計算平均值和標準差。
2.7 統計分析
在Microsoft Excel中使用Student’s t-test比較LO和FI的結果。每次分析的統計學顯著性用單尾p值表示,p值分為<0.05(*)、<0.01(**)和<0.001(***)三類。所有數據均以均值和標準差表示(n = 9)。

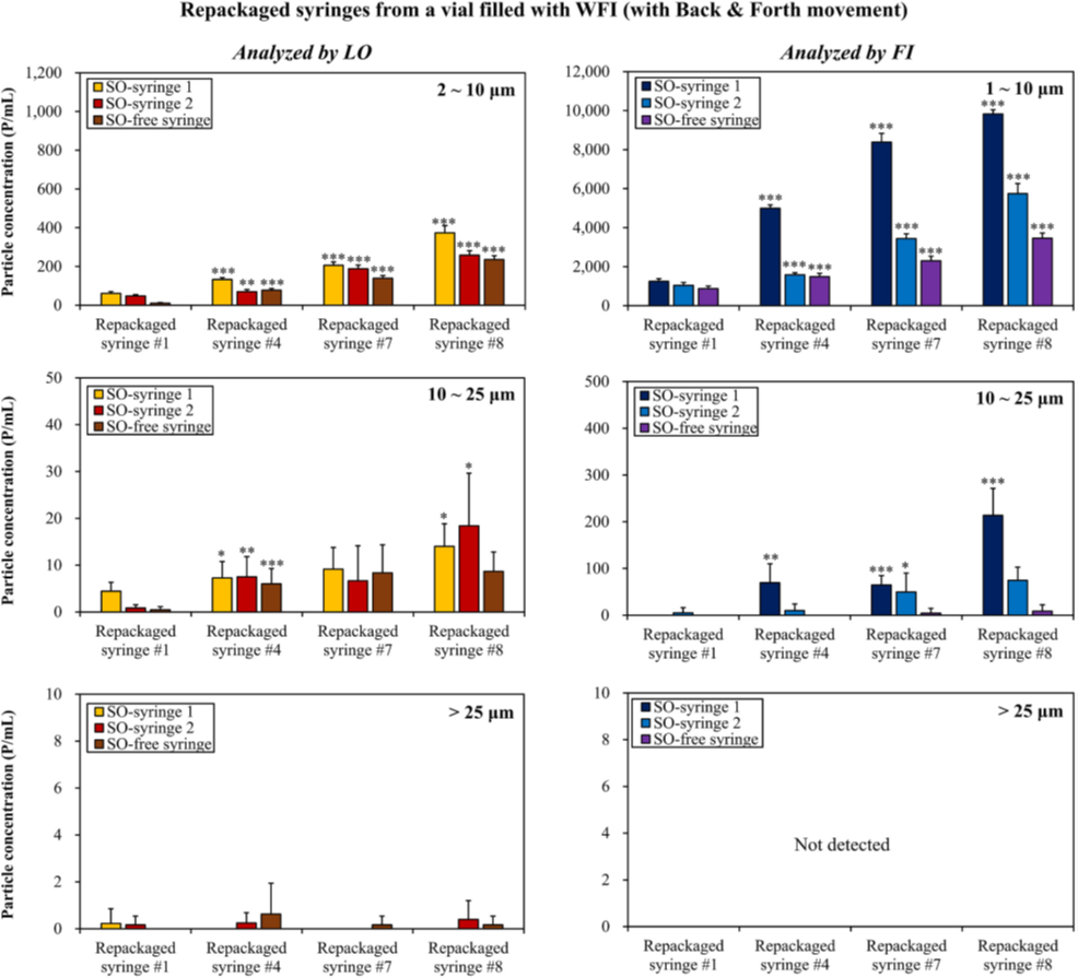
圖3所示。在WFI上通過LO(上)和FI(下)進行顆粒分析,從小瓶中來回移動重新包裝在塑料注射器中。*p < 0.05, **p < 0.01, ***p < 0.001表示重新包裝的注射器中顆粒濃度與之前的注射器相比增加有統計學意義(重新包裝的注射器#4 >重新包裝的注射器#1;重新包裝的注射器#7 >重新包裝的注射器#4;重新包裝注射器#8 >重新包裝注射器#7)
三、結果與討論
注射器內硅油含量
圖2a顯示了不同類型的含硅油和不含硅油的注射器以及實驗中使用的針頭。在之前的研究中,我們使用IPA對SO注射器中的硅油殘留物進行提取和定量。由于大多數藥物配方都是基于水性溶劑,與IPA一起,WFI還用于相對量化塑料注射器的可浸出水平。
圖2b顯示了使用IPA和WFI從每種類型的20支注射器中提取的干燥殘留物的重量。由于溶解度的差異,ipa提取殘留物的數量可能更高。如圖所示,so -注射器1產生的殘留量最多(20支注射器的平均值:WFI為1.20 mg, IPA為20.66 mg),其次是so -注射器2(20支注射器的平均值:WFI為0.68 mg, IPA為5.27 mg),這表明不同供應商的注射器中可浸出水平差異很大。進一步用傅里葉變換紅外光譜(FT-IR)對萃取物進行分析,以確定殘留物中存在硅油。如圖2c所示的FT-IR光譜顯示,硅油在1260 cm??1 (CH3在Si-CH3中的彎曲振動)、1090 cm??1、1020 cm??1 (Si-O-Si的不對稱拉伸振動)和800 cm??1 (Si-C在Si-CH3中的拉伸振動)處有明顯的吸收帶[31,32]。此外,FT-IR上的吸光度與殘留物的數量相關,如圖2c所示,進一步證實殘留物主要是硅油。有趣的是,盡管在FT-IR光譜中沒有觀察到硅油相關的峰,但在無so注射器中也發現了少量殘留(WFI中平均0.07 mg, IPA中平均0.26 mg)。在這種情況下,檢測到酰胺在3184和3375 cm??1處的N-H拉伸峰(數據未顯示)和在1631和1557 cm??1處的C - - 0拉伸峰,表明無so注射器提取物中使用的油酰胺型潤滑劑存在。
so -注射器1和so -注射器2的硅油每面積重量分別為0.08 mg/cm2和0.02 mg/cm2,均在ISO 7886- 1:2017的一般限值(0.25 mg/cm2)內。相比之下,使用可以完全溶解硅油的乙酸乙酯可以產生更大的量。然而,我們在本研究中沒有使用有機溶劑,因為它也會提取雙酚A,并且會增加so -注射器2中提取物的重量。因此,即使是輕微的攪拌,如傾斜注射器幾次,也會導致硅油從充滿WFI的注射器釋放到MDV中。我們進行了進一步的研究,以評估有和沒有模型藥物的SO注射器產生的mdv中的顆粒積累程度。

圖4所示。10 mg/mL IgG,重新包裝在塑料注射器中(a), (b)無來回運動。*p < 0.05, **p < 0.01, ***p < 0.001表示重新包裝的注射器中顆粒濃度與之前的注射器相比增加有統計學意義(重新包裝的注射器#4 >重新包裝的注射器#1;重新包裝的注射器#7 >重新包裝的注射器#4;重新包裝注射器#8 >重新包裝注射器#7)
再包裝注射器中WFI的顆粒分析
硅油在注射器內的釋放及其對生物藥品穩定性和有效性的影響以及免疫原性風險在過去20年中已經有報道。如圖1所示,將藥品取出的方法可能會增加污染瓶中剩余藥品的風險。這將帶來更大的mdv風險,因為通過每次注射器制備引入小瓶的任何顆粒都可能被攜帶到連續的注射器上。為了證實顆粒數量隨著注射器制備而增加的假設,最初進行了預測試,將小瓶中的WFI重新包裝到8個帶硅油和不帶硅油的注射器中。然后使用LO和FI評估注射器的顆粒計數。
圖3顯示了用LO和FI測定的瓶子中再包裝注射器中WFI的顆粒濃度(p/mL)。結果表明,LO和FI的顆粒濃度相差大于10倍。這種差異已被廣泛報道,并歸因于LO檢測光學對比度低和/或折射率與介質相似的顆粒的能力有限。與標準聚苯乙烯珠(折射率為1.6)不同,硅油(1.405)和水(1.333)的折射率差異很小,可能限制了LO對硅油顆粒的檢測。然而,LO和FI識別的顆粒尺寸在1- 25 μm范圍內,在1-或2-10 μm范圍內顆粒負荷較高。這一觀察結果與之前的一項研究一致,該研究報告在2-8?C下儲存90天后,注射器中1-10 μm范圍內產生了更多的硅油顆粒。相應的,LO檢測到的>25 μm的顆粒數量可以忽略不計,而FI沒有檢測到這樣的顆粒。
圖3顯示了基于注射器類型的結果評價,可見so -注射器1的顆粒計數最高,其次是so -注射器2,與各自注射器中的硅油含量相當(圖2b)。在無so注射器中也檢測到顆粒,盡管相對較少。圖2c所示的FT-IR數據得到了先前研究的證實,表明殘留物可能是從無so注射器的內表面釋放出來的油酰胺。此外,從LO和FI獲得的數據顯示,無論注射器類型如何,隨著重新包裝計數的增加,顆粒積累的模式相似。在所有類型的注射器中,顆粒濃度隨每次重新包裝而增加,這支持了我們的假設。最初,在1 - 10 μm范圍內,重新包裝的so -注射器1、so -注射器2和無so -注射器1中的顆粒濃度(即按FI計算)分別為1246 p/mL、1038 p/mL和874 p/mL,在重新包裝的注射器8中分別增加到9830 p/mL、5744 p/mL和3458 p/mL。結果表明,高變異性的管理注射器和一個令人驚訝的結果,顆粒濃度的增加取決于重新包裝注射器的數量。
此外,每次重新包裝時顆粒濃度的增加也提出了在臨床環境中通常使用的提取技術(來回移動)的問題(圖1)。從小瓶中提取藥品時經常會產生氣泡。在步驟4中,輕彈注射器使氣泡向注射器尖端移動會引起機械應力,從而導致硅油或其他潤滑劑從內桶中遷移[16]。此外,推動柱塞將氣泡釋放到瓶中,將釋放的潤滑劑引入瓶中。Melo等人的研究報道,輕彈注射器引起的SO液滴水平升高可能導致眼內注射患者不良反應增加。圖3所示的結果表明,在含潤滑劑注射器中使用前后運動和輕彈會導致每次重新包裝時MDV中的顆粒(可浸出)濃度增加,這可能與藥物相互作用,影響藥物的療效和穩定性。

圖5所示。用FI對10 mg/mL IgG進行顆粒分析,重新包裝在塑料注射器中(a), (b)沒有來回運動。*p < 0.05, **p < 0.01, ***p < 0.001表示重新包裝的注射器中顆粒濃度與之前的注射器相比增加有統計學意義(重新包裝的注射器#4 >重新包裝的注射器#1;重新包裝的注射器#7 >重新包裝的注射器#4;重新包裝注射器#8 >重新包裝注射器#7)
再包裝注射器中藥物顆粒分析:前后運動的影響
我們以10 mg/mL IgG為模型藥物,考察硅油和來回法對蛋白治療的影響。圖4和圖5分別顯示了使用LO和FI分析的再包裝注射器的顆粒分析。當在小瓶中存在IgG的情況下進行前后移動時,與WFI相比,在所有尺寸范圍內都觀察到顆粒濃度的顯著增加。在2個品牌的SO注射器中,每次重新包裝都有明顯的增加趨勢,表明所產生的微粒的積累和轉移。與WFI樣品(圖3)相比,重新包裝的注射器#8中,so -注射器1、so -注射器2和無so -注射器的顆粒計數分別比LO觀察的增加了5倍、6倍和3倍(圖4a),比FI觀察的增加了11倍、4倍和3倍(圖5a)。結果表明,與不使用SO的注射器相比,使用SO的注射器顆粒濃度增加的傾向更高,表明硅油是顆粒形成的原因。此外,還觀察了不同品牌SO注射器顆粒濃度的差異。造成差異的原因可以解釋為從注射器中釋放的硅油量不同(圖2b),可能在使用so -注射器1時提供了更多的形成蛋白膜和顆粒的位點(圖3、4a和5a)。然而,無論不同品牌,兩種SO注射器均存在>25 μm的顆粒,而在WFI中,這一差異不顯著。顆粒的代表性FI圖像顯示,在IgG存在的情況下,硅油與吸附的蛋白質形成了一個復合物,形成了尺寸>25 μm的更大的亞可見顆粒(圖6)。此外,藥物介質對過程中微粒的形成也有顯著影響。甘氨酸在本研究中作為IgG的賦形劑,通過減少界面吸附的有效性來增加蛋白質分子展開的能量,這可能是在SO存在下形成微粒的主要途徑,使蛋白質分子容易被吸附到SO表面。先前的研究表明,在注射筒處的硅油表面可以形成蛋白質層。初級層是不可逆結合,而隨后的層是可逆結合,并且容易被柱塞頭的掃力解吸,釋放微粒。此外,幾項攪拌研究表明,硅油顆粒從注射器筒中釋放出來,為其表面形成蛋白質膜提供了一個表面,并增加了顆粒濃度。將注射器鍍硅主要是為了減小柱塞與筒體內表面之間的滑動力。由于硅油已被證明會增加注射器中的微粒濃度,具有等效斷裂損失和滑動力的非硅化材料可能是緩解此類問題的替代品。
雖然用不含SO的注射器代替SO注射器減少了顆粒負荷,但顆粒仍在生成,并且顆粒濃度隨著重新包裝的增加而增加的趨勢持續存在,這意味著它們與高蛋白濃度的產品不相容。進行了進一步的調查,以確定不同的提取技術是否可以防止不可見顆粒的積累和攜帶到連續的注射器中。在步驟4(圖1)中輕彈注射器使氣泡移動到噴嘴頂部后,注射器從小瓶中取出。然后,當推動柱塞時,氣泡被釋放到空氣中,直到藥物溶液暴露在針頭的末端。然后將注射器插入小瓶中以調整所需的藥物溶液體積。因此,在重新包裝的注射器#8中,觀察到顆粒計數顯著減少,分別由LO和FI檢測到約2至4倍減少(圖4b)和4至20倍減少(圖5b)。此外,當改變前后運動(圖4b)時,重新包裝的注射器#8與無so注射器(圖4a)之間的顆粒濃度差異(幾乎是10倍)最小(圖4a)。這一結果突出了指南中提供的提取技術和防止硅油顆粒積聚方法的缺點。

圖6所示。在10 mg/mL IgG中觀察到的顆粒的代表性FI圖像,重新包裝在含有SO的塑料注射器中(右),沒有來回運動(左)
此前已有研究報道硅油對蛋白質穩定性的影響。然而,其在用于核酸藥物遞送的LNP制劑中的作用尚未研究。考慮到最近LNP配方的流行以及MDVs用于Covid-19疫苗,研究藥物穩定性的各個方面對于確保患者安全給藥至關重要。在LNP上使用相同的程序重復測試。然而,由于FI結果似乎比LO更敏感,因此僅包括FI數據以供進一步討論。圖7a和b顯示了使用FI分析的重新包裝LNP的顆粒濃度。在連續重新包裝的注射器中,顆粒濃度隨前后運動呈增加趨勢(圖7a)。當避免前后運動(圖7b)時,顆粒計數沒有明顯增加,不同類型注射器之間的差異較小。
與硅油誘導的IgG顆粒積聚不同,在LNPs的代表性FI圖像中區分硅油顆粒是具有挑戰性的(圖8)。通常,硅油顆粒是根據其圓形和中空度與其他顆粒進行光學區分的;硅油誘導顆粒的核心更亮,核心和邊緣之間的對比度也很高。然而,LNP樣品中的此類顆粒很少(圖8)。這可以推測,因為LNP與SO相互作用或團聚產生了比蛋白質顆粒更致密、折射率更高的顆粒。我們沒有進行進一步的表征,因為目前的研究旨在證明在給藥前,重新包裝的標簽外使用SO注射器與多用途小瓶中的藥物質量不同。同樣,在重新包裝過程中盡量減少來回運動可以減少小瓶中的顆粒積聚并攜帶到注射器中。

圖7所示。在LNP上用FI進行顆粒分析,重新包裝在塑料注射器(a)中,(b)沒有來回運動。*p < 0.05, **p < 0.01, ***p < 0.001表示重新包裝的注射器中顆粒濃度與之前的注射器相比增加有統計學意義(重新包裝的注射器#4 >重新包裝的注射器#1;重新包裝的注射器#7 >重新包裝的注射器#4;重新包裝注射器#8 >重新包裝注射器#7)

圖8所示。LNP中觀察到的顆粒的代表性FI圖像,重新包裝在含有SO的塑料注射器中(右),沒有來回運動(左)

圖9所示。用FI對(a) 10mg /mL IgG進行顆粒分析,用過濾器集成針重新包裝在塑料注射器中(注射器中未使用過濾針的數據見圖3),(b) 10mg /mL IgG加入添加劑后重新包裝在塑料注射器中,(c) LNP加入添加劑后重新包裝在塑料注射器中。所有樣品都被重新包裝,前后移動。*p < 0.05, **p < 0.01, ***p < 0.001表示帶濾芯針與不帶添加劑樣品的差異有統計學意義
過濾器集成針在重新包裝中的影響
美國衛生系統協會建議在使用單劑量安瓿時使用5 μm過濾器集成針頭,以降低將玻璃顆粒注射到患者體內的風險。一些研究表明,集成過濾器的針頭可以有效地減少玻璃顆粒污染。在線過濾器也被用于靜脈輸液,以防止微顆粒成分進入血液循環[59]。在之前的一項研究中,與不使用過濾器的針頭與SO注射器一起使用相比,使用過濾器集成針頭可以降低IgG制劑中的顆粒濃度。在此基礎上,評價了5 μm過濾集成針對含IgG的mdv再包裝的效果。使用過濾器集成針降低了所有粒徑范圍內的顆粒濃度(圖9a)。使用FI測定,重新包裝的注射器#8中粒徑為1 - 10 μm的顆粒數量在so -注射器1中從111,414 p/mL減少到95,614 p/mL,在so -注射器2中從23,238 p/mL減少到15,524 p/mL。在粒徑> 10 μm范圍內,使用該過濾器可降低顆粒濃度。但粒徑>5 μm的顆粒仍存在,且其數量高于消除前后運動后的顆粒。這可能是由于硅油和/或誘導顆粒的靈活性,可以通過過濾膜;此外,在分析之前沒有更換過濾器。然而,數據表明,過濾器集成針頭可以通過減少小瓶中的積聚來降低攜帶到連續注射器中的微粒水平,特別是在so注射器2中。
吐溫20和乙酰精氨酸對再包裝的影響
已知非離子表面活性劑,如聚山梨酯,可以降低單克隆抗體的界面應力,從而最大限度地減少硅油存在下的顆粒形成。表面活性劑濃度大于其臨界膠束濃度(CMC)已被證明在將蛋白質分子從界面上取代方面特別有效[62]。然而,SO的存在進一步增加了蛋白質吸附的界面面積,因此需要使用更多的表面活性劑來減少界面吸附。此外,150 mM的n - α-乙酰- l-精氨酸(acetyl- l-arginine,乙酰精氨酸)被報道在硅油存在下抑制攪拌應力中IgG的亞可見顆粒形成。因此,在本研究中,在IgG和LNP中加入10× 20和150 mM乙酰精氨酸cmc,比較它們在重新包裝到SO注射器時減少顆粒形成的效果。當添加到IgG中時,Tween 20和乙酰精氨酸在所有尺寸范圍內的顆粒濃度都有所降低(圖4a和5a與圖9b相比)。在SO注射器1中,與重新包裝的注射器7相比,顆粒濃度的降低是顯著的,這表明在注射器制備過程中,浸出硅油表面的蛋白質膜形成受到抑制。
相比之下,LO和FI結果表明,添加Tween 20后,1-10 μm的IgG顆粒數量相對較多。大多數與硅油相關的顆粒(在WFI中)的大小在1-10 μm之間(圖2)。考慮到Tween 20由于其高濃度會影響IgG的高階結構,它可能導致IgG的Fab區發生化學位移,而乙酰精氨酸對其構象的影響最小,只是阻止疏水相互作用,導致蛋白質-蛋白質相互作用減少。然而,與乙酰精氨酸相比,Tween 20在> 10 μm的尺寸范圍內產生了更好的顆粒還原效果,這表明Tween 20對空氣-水或其他界面應力的主要影響,減少了更大顆粒的形成。總體而言,與使用過濾器集成針頭相比,使用添加劑對重新包裝注射器中硅油誘導顆粒的減少效果更好(圖9a與圖9b)。同樣,在重新包裝LNP時,Tween 20和乙酰精氨酸也能有效地減少所有尺寸范圍內的顆粒(圖9c)。因此,在將藥物投放市場之前,還應考慮最大限度地減少超說明書使用注射器中的顆粒形成,并需要優化制備指南,以確保給藥前的藥物質量。
本研究旨在評估so注射器重復使用MDV時顆粒蓄積量。WFI、人源IgG和LNP三種溶液的顆粒水平均升高,尤其高于無so的注射器。其濃度和大小可能因生物藥品及其制劑的物理特性而異。考慮到wfi填充的MDV中顆粒濃度呈持續增加的趨勢(圖3),硅油或微粒的積累會對下一次重新包裝的注射器產生影響。另一方面,本研究的局限性在于只使用了LNP載體。因此,由于LNP與塑料注射器中硅油的相互作用可能與COVID-19疫苗等商業產品不同,因此沒有進一步表征LNP與硅油的相互作用。然而,硅油在MDV中積累的影響絕不能被低估,例如,在使用低死區注射器(LDS)時,通過清除小瓶中的殘留物來提供額外的劑量。
結論
本研究表明,每次連續注射器從多用途小瓶中提取硅油誘導的亞可見顆粒增加。改變停藥技術減少了微顆粒的數量,提示有必要修改制備指南。此外,使用過濾器集成針或穩定劑也減少了顆粒的形成。顆粒濃度可能與市場上的“真正"藥品不同。然而,考慮到在生物制藥中越來越多地使用耐多藥,認識到與亞可見顆粒的產生及其在小瓶中的積累有關的風險以及所使用的材料類型和技術的影響至關重要。